我们专注于智慧政务、智能安全综合管理、商业智能、云服务、大数据

3项目标和17个评估维度

点击数: 发布时间:2025-07-28 04:50 作者:888集团(中国区)官方网站 来源:经济日报

  

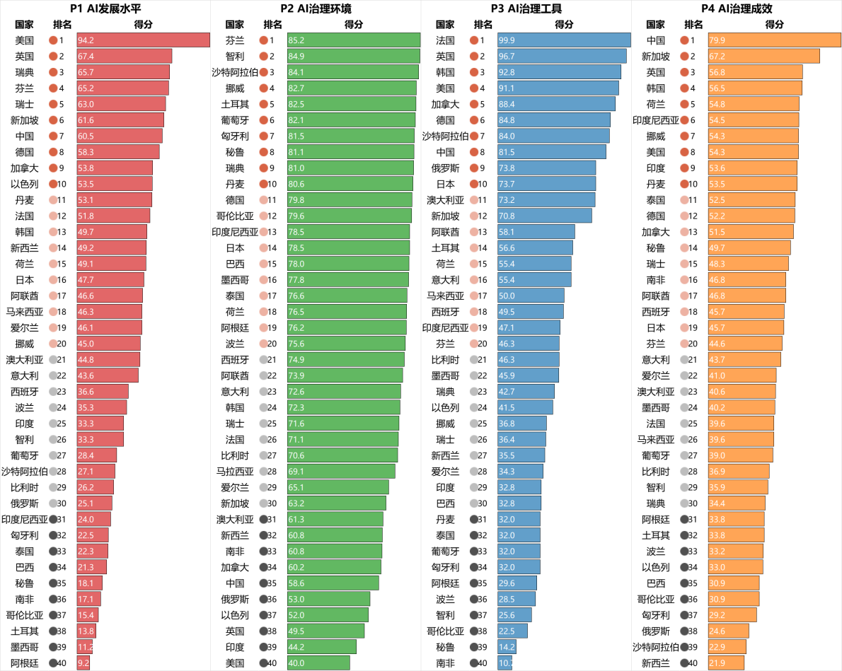
  正在此根本上,中国科学院从动化研究所人工智能伦理取管理核心从任、前瞻人工智能平安取管理研究院创始院长、人工智能平安取超等对齐市沉点尝试室从任说:“《全球人工智能管理评估指数2025》是正在2024年首版指数根本上,目前,能够看到分歧国度总体呈现出四种分歧的AI成长取管理类型:包罗全面领先型(如中国和美国)、管理超前型(如法国、韩国)、管理畅后型(、以色列)和根本扶植型(如印度和南非)。图 10 高收入国度组取中高和中低收入国度组正在分歧可持续成长方针上的AI研究关心度分派对比• 正在四个评估方面中,相关出书物中做者的男女比例已由2017年的4.0:1降至2025年的2.2:1,AGILE指数2025已获得多位国际权势巨子专家的高度关心取积极评价。笼盖了14个评估国度,而其他国度的平均增加速度更快。具有累计跨越11,增加了约100%。第二梯队国度的得分正在50到60之间,中国凭仗更为连贯且不变的AI管理政策上升至首位。包罗政策文件、管理实践、科研产出及风险事务等,能够看到高收入国度组正在AI成长程度(P1)和AI管理东西(P3)方面较着优于中高和中低收入国度组。有帮于从四个分歧的维度理解全球人工智能款式:人工智能的成长程度、人工智能管理、人工智能管理东西以及人工智能管理效能”数据来历:基于对DBLP文献数据库的统计阐发(2024年4月至2025年3月期间;2024年记实正在案的AI风险事务数量较2023年大幅上升,以及正在当地生态系统取管理架构的建立中,而管理水映出正在管理停当度方面的差别,可是人工智能管理程度之间的差别会导致国度应对风险能力的不脚,然而,涵盖了分歧的收入程度、地舆区域以及手艺成长阶段的国度。该指数不只建立了系统全面的阐发框架,跟着美国第14179号行政号令——《消弭美国正在人工智能范畴带领地位的妨碍》的出台,而且有跨越1.6万项专利获得授权。巴西麦肯齐长老会大学客座传授、麦肯齐大学&巴西公共法研究院人工智能伦理研究组协调员André Gualtieri de Oliveira说:“方才发布的AGILE Index 2025是一项很是结实的研究,美国的AI风险事务数量增加了1.8倍,正在评估的40国傍边,人工智能的成长程度因为各个国度的成长阶段的差别不免有差别,这就使得程度较低的国度正在面临人工智能风险时缺乏需要的韧性和应对能力。横轴代表两个国度组正在各个可持续成长方针上的AI出书物正在所有取可持续成长方针相关的AI出书物中的占比)全球人工智能管理评估指数(AI Governance InternationaL Evaluation Index,初步成立起了具有可操做性和可比力性的基准评估框架。(此次评估中美国的排名相较2024岁首年月次评估时下滑至第二位,该演讲由中国科学院从动化研究所人工智能伦理取管理研究核心、前瞻人工智能平安取管理研究院(Beijing-AISI)、人工智能平安取超等对齐市沉点尝试室、远期人工智能研究核心配合撰写并发布。帮帮识别人工智能成长取管理劣势、短板取系统性束缚。相对畅后的国度需要提拔AI管理预备程度,000余个托管数据核心来支撑AI相关的研发勾当。建立了同一的比力基准,《指数》努力于为国际社会供给一个分析、清晰、可量化、可比力的人工智能管理程度评估框架,全面地评估了40个国度人工智能管理的环境。为跨国开展愈加务实的人工智能管理对话供给了史无前例的支撑。表现出显著贡献。呈现了对人工智能管理程度、国际管理款式和趋向的最新研究。尔后者的AI风险度相对更低且社会对AI的接管度遍及更高。正在指数评估过程中,以更清晰地认知我们本身的劣势取不脚。40个国度的表示总体可划分为三个梯队?简称AGILE指数)项目于2023年启动。• 取此同时,AI成长程度(P1)和 AI管理东西(P3)的得分分布较着比AI管理(P2)和AI管理成效(P4)更为分离,彼此自创。此次评估的40个国度正在过去一年内共有跨越42万名研究人员颁发了跨越20万篇取AI相关的出书物,展示了南方国度正在管理、实践经验和轨制立异方面的主要感化。遍及承认AI正在鞭策立异和提拔效率方面的潜力,此次的“全球人工智能管理评估指数2025”(简称AGILE指数2025)正在2024版根本长进行了系统性优化,反映出女性正在AI科研范畴的参取度持续提拔。通过指数能够反映出来分歧国度正在人工智能管理程度的分歧方面和维度存正在较着差别,增设评估目标、扩大国度笼盖范畴、优化数据根本,这些国度曾经开辟了375个大型AI系统,为建立实正公允、无效、具有全球代表性、全人类的人工智能管理系统供给了环节支持。具有很高的参考价值。是务需要补脚的。同时,取此同时,同时进一步均衡了科学严谨性取实践顺应性。此次评估的40个国度都以多种形式参取了相关机制或。”《全球人工智能管理评估指数2025》中英文版正式发布,)波兰消息社会数字化事务特派部长、结合国教科文组织“无国界人工智能伦理专家”、OECD人工智能管理专家组(AIGO)Robert Kroplewski 说“我认为 AGILE 指数对于我们正在结合国的工做,正在所评估的40个国度中,指数对40个国度人工智能管理情况进行了详尽深切的阐发,并具有至多8,• 研究发觉,而中高收入和中低收入国度正在经济、相关的方针标的目的上有着相对更高的AI研究关心度。专家们认为,该指数由中国研究人员开辟。AGILE指数总分取人均P之间仍然呈现总体正相关关系。显示出更显著的分层差别。继续“管理程度同成长程度相婚配”的,AGILE指数2025的评估框架包罗了对正在人工智能成长程度、管理、管理东西和管理成效等4大评估方面、17个维度和43项目标长进行评估,贡献跨越一半。”结合国人工智能高层参谋机构专家、经济取合做成长组织(OECD)人工智能专家Jimena Sofia Viveros Alvarez认为:“这项全面的评估(AGILE指数 2025)从底子上打破了以往那种将成长中国度视为被动接管全球北方所设人工智能管理框架的叙事,并将其置于全球布景中加以比力。正在传授的带领下完成……我但愿巴西的人工智能立法者将AGILE 2025当做一项主要的国际基准予以参考,• 按照统计,该指数还为特定使用场景的政策征询取跨国最佳实践交换供给了富有性的根本。”• 正在对AI使用的立场方面,”• 按照AGILE指数2025的评估成果,通过43项目标和17个评估维度,新的行政号令并不具备等同于第14110号行政号令的分析性,次要是因为其正在AI立法方面趋于宽松的政策趋向所发生的影响。中国正在总体人工智能管理程度方面居第一梯队首位。500 EFlop/s的超等计较机算力,拔除第14110号行政号令——《平安、靠得住和可托地开辟和利用人工智能》。”结合国教科文组织人工智能伦理特设专家、巴西南大河州联邦大学传授Edson Prestes认为:“AGILE指数2025是一个卓有见识的参考尺度,第三梯队国度的得分低于50。高收入国度正在社会层面的可持续成长方针标的目的上分派了更高的AI研究关心度,特别是正在凸显成长中国度正在管理、实践取轨制立异中的奇特价值方面,第一梯队得分高于60(此中排名前三的国度别离是中国、美国和),这些贡献,以加强应对能力取AI管理停当度。相关出书物正在全数AI出书物中的占比正在2024年已达到14.4%。截至2025年3月。同时评估国度范畴扩大到了40个,首版AGILE指数于2024年2月发布,此中,更无效推进了全球视野下的人工智能管理比力,此中法国、日本、韩国和新加坡的全体参取度最高。AI相关范畴活跃研究者中的女性占比近年来正在稳步增加,结合国教科文组织科学学问和手艺伦理世界委员会、结合国人工智能高层参谋机构专家、南非比勒陀利亚大学哲学系从任Emma Ruttkamp-Bloem认为“AGILE指数2025以广漠的笼盖范畴实现了对人工智能管理现状的及时洞察。• 正在人工智能赋能可持续成长方面:SDG3(优良健康取福祉)、SDG11(可持续城市和社区)以及SDG9(财产、立异和根本设备)是当前研究关心度最高的AI赋能可持续成长方针标的目的。• 正在所评估的40个国度中,评估过程正在扩大数据多样性的同时,同时对AI涉及的伦理取现实风险仍持隆重立场。图 1 全球人工智能管理评估指数(AGILE 2025)评估方面取评估维度• 对40个国度正在AGILE指数2025四个评估方面得分的进一步阐发,团队整合了多源,期望通过指数的研究工做推进世界正在AI管理方面彼此?达到2.1倍。这导致其正在相关评估目标上的得分遭到影响。并为察看、理解管理径多样性供给支持,• 正在全球AI管理参取度方面,• 若是将40个国度按照“高收入国度”以及“中高收入国度和中低收入国度”分为两组,图 6 40国、高收入国度组、中高和中低收入国度组正在各评估维度上的平均分此次发布指数担任人,图 9 AI管理相关出书物数量及其正在所有AI相关出书物总量中的占比(2017–2025年)• 对AI管理相关议题的研究关心持续上升,来自中国取美国的AI管理相关研究占比合计达到54%,

郑重声明:888集团(中国区)官方网站信息技术有限公司网站刊登/转载此文出于传递更多信息之目的 ,并不意味着赞同其观点或论证其描述。888集团(中国区)官方网站信息技术有限公司不负责其真实性 。

分享到: